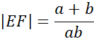
Musisz wyznaczyć odcinek o zadanych własnościach.
1. Narysuj dwie dowolne proste przecinające się w punkcie A.
2. Na jednej prostej odmierz jednostkową długość odcinka: |AE| = a
3. Na drugiej prostej odmierz: |AD| = a, |DC| = |CB| = b
4. Poprowadź prostą przez punkty E i C.
5. Poprowadź prostą równoległą do prostej EC przechodzącą przez punkt B.
6. Otrzymany odcinek:
Zadanie 1.1.
146Zadanie 1.4.
147Zadanie 1.8.
147Zadanie 1.13.
147Zadanie 1.18.
148Zadanie 1.19.
148Zadanie 1.24.
148Zadanie 1.27.
148Zadanie 2.1.
159Zadanie 2.2.
159Zadanie 2.7.
159Zadanie 2.12.
148Zadanie 3.3.
174Zadanie 3.12.
175Zadanie 3.13.
175Zadanie 3.15.
176Zadanie 4.2.
183Zadanie 4.3.
184Zadanie 4.4.
184Zadanie 4.6.
184Zadanie 4.7.
184Zadanie 4.8.
184Zadanie 4.9.
184Zadanie Prosto do matury 5.
186Zadanie 5.2.
192Zadanie 5.3.
192Zadanie 5.6.
193Zadanie 5.7.
193Zadanie 5.9.
193Zadanie 6.2.
208Zadanie 6.3.
209Zadanie 6.4.
209Zadanie 6.5.
209Zadanie 6.10.
210Zadanie 30.
217Zadanie 39.
218