Musisz ustalić długości boków trójkąta podobnego za pomocą wyznaczonej skali podobieństwa.
Długość boków podobnego trójkąta może wynosić 6, 8, 10 lub 6, 3.6, 4.8 lub 6, 4.5, 7.5.
Z twierdzenia Pitagorasa możemy obliczyć przeciwprostokątną |AB|:
Jeżeli podany bok trójkąta podobnego podobny jest do odcinka |AB|, wtedy:
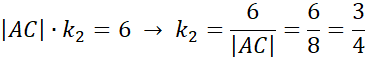
Jeżeli podany bok trójkąta podobnego podobny jest do odcinka |AC|, wtedy:
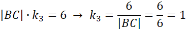
Jeżeli podany bok trójkąta podobnego podobny jest do odcinka |BC|, wtedy:
Zadanie 1.1.
146Zadanie 1.4.
147Zadanie 1.8.
147Zadanie 1.13.
147Zadanie 1.18.
148Zadanie 1.19.
148Zadanie 1.24.
148Zadanie 1.27.
148Zadanie 2.1.
159Zadanie 2.2.
159Zadanie 2.7.
159Zadanie 2.12.
148Zadanie 3.3.
174Zadanie 3.12.
175Zadanie 3.13.
175Zadanie 3.15.
176Zadanie 4.2.
183Zadanie 4.3.
184Zadanie 4.4.
184Zadanie 4.6.
184Zadanie 4.7.
184Zadanie 4.8.
184Zadanie 4.9.
184Zadanie Prosto do matury 5.
186Zadanie 5.2.
192Zadanie 5.3.
192Zadanie 5.6.
193Zadanie 5.7.
193Zadanie 5.9.
193Zadanie 6.2.
208Zadanie 6.3.
209Zadanie 6.4.
209Zadanie 6.5.
209Zadanie 6.10.
210Zadanie 30.
217Zadanie 39.
218