Musisz obliczyć wartość skali potrzebnej do uzyskania zadanej figury.
Należy przekształcić ten prostokąt w skali k =1/4.
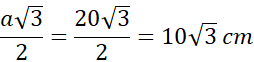
Obliczmy długości boków podanego prostokąta na podstawie własności trójkąta 30° 60° 90°:
Z polecenia wiemy, że przeciwprostokątna tego trójkąta wynosi 20 cm:
Wzory na pozostałe boki możemy więc zapisać:
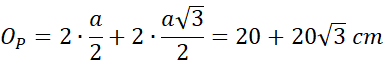
Możemy więc obliczyć obwód podanego prostokąta, który wynosi:
Oczekiwany przez nas prostokąt podobny powinien mieć obwód:
Obliczmy więc skalę podobieństwa:
Zadanie 1.1.
146Zadanie 1.4.
147Zadanie 1.8.
147Zadanie 1.13.
147Zadanie 1.18.
148Zadanie 1.19.
148Zadanie 1.24.
148Zadanie 1.27.
148Zadanie 2.1.
159Zadanie 2.2.
159Zadanie 2.7.
159Zadanie 2.12.
148Zadanie 3.3.
174Zadanie 3.12.
175Zadanie 3.13.
175Zadanie 3.15.
176Zadanie 4.2.
183Zadanie 4.3.
184Zadanie 4.4.
184Zadanie 4.6.
184Zadanie 4.7.
184Zadanie 4.8.
184Zadanie 4.9.
184Zadanie Prosto do matury 5.
186Zadanie 5.2.
192Zadanie 5.3.
192Zadanie 5.6.
193Zadanie 5.7.
193Zadanie 5.9.
193Zadanie 6.2.
208Zadanie 6.3.
209Zadanie 6.4.
209Zadanie 6.5.
209Zadanie 6.10.
210Zadanie 30.
217Zadanie 39.
218