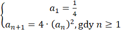
W tym zadaniu musisz obliczyć pięć pierwszych wyrazów ciągu, który jest zdefiniowany rekurencyjnie
Odpowiedź:
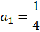
Zauważ, że pierwszy wyraz ciągu jest już podany:
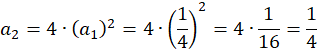
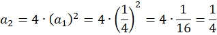
Podstaw drugi wyraz do wzoru i oblicz trzeci wyraz:
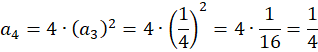
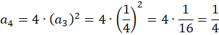
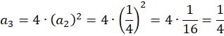
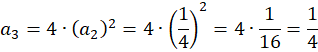
Podstaw trzeci wyraz do wzoru i oblicz czwarty wyraz:
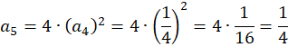
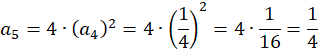
Podstaw czwarty wyraz do wzoru i oblicz piąty wyraz:
Ćwiczenie 2.
174Ćwiczenie 4.
175Ćwiczenie 5.
176Ćwiczenie 6.
177Zadanie 8.1.
178Zadanie 8.5.
178Zadanie 8.6.
179Zadanie 8.8.
179Zadanie 8.9.
179Zadanie 8.10.
179Zadanie 8.11.
179Ćwiczenie 7.
180Ćwiczenie 8.
181Ćwiczenie 10.
182Ćwiczenie 11.
183Ćwiczenie 12.
183Ćwiczenie 13.
183Zadanie 8.13.
184Zadanie 8.17.
185Zadanie 8.18.
185Zadanie 8.19.
185Zadanie 8.20.
185Ćwiczenie 14.
186Ćwiczenie 15.
187Ćwiczenie 16.
188Zadanie 8.22.
188Zadanie 8.23.
188Zadanie 8.25.
189Zadanie 8.26.
189Zadanie 8.28.
189Zadanie 8.29.
189Ćwiczenie 17.
190Ćwiczenie 18.
190Ćwiczenie 20.
191Ćwiczenie 21.
192Zadanie 8.30.
192Zadanie 8.31.
192Zadanie 8.32.
192Zadanie 8.34.
193Ćwiczenie 22.
193Ćwiczenie 23.
194Zadanie 8.35.
195Zadanie 8.36.
195Zadanie 8.37.
195Zadanie 8.39.
196Zadanie 5.
197