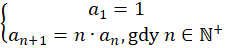
W tym zadaniu musisz podać pięć początkowych wyrazów nieskończonego ciągu, podanego wzorem
Odpowiedź: 1, 1, 2, 6, 24
Zauważ, że pierwszy wyraz ciągu jest już podany:
Podstaw drugi wyraz ciągu i oblicz trzeci:
Podstaw trzeci wyraz ciągu i oblicz czwarty:
Podstaw czwarty wyraz ciągu i oblicz piąty:
Ćwiczenie 2.
174Ćwiczenie 4.
175Ćwiczenie 5.
176Ćwiczenie 6.
177Zadanie 8.1.
178Zadanie 8.5.
178Zadanie 8.6.
179Zadanie 8.8.
179Zadanie 8.9.
179Zadanie 8.10.
179Zadanie 8.11.
179Ćwiczenie 7.
180Ćwiczenie 8.
181Ćwiczenie 10.
182Ćwiczenie 11.
183Ćwiczenie 12.
183Ćwiczenie 13.
183Zadanie 8.13.
184Zadanie 8.17.
185Zadanie 8.18.
185Zadanie 8.19.
185Zadanie 8.20.
185Ćwiczenie 14.
186Ćwiczenie 15.
187Ćwiczenie 16.
188Zadanie 8.22.
188Zadanie 8.23.
188Zadanie 8.25.
189Zadanie 8.26.
189Zadanie 8.28.
189Zadanie 8.29.
189Ćwiczenie 17.
190Ćwiczenie 18.
190Ćwiczenie 20.
191Ćwiczenie 21.
192Zadanie 8.30.
192Zadanie 8.31.
192Zadanie 8.32.
192Zadanie 8.34.
193Ćwiczenie 22.
193Ćwiczenie 23.
194Zadanie 8.35.
195Zadanie 8.36.
195Zadanie 8.37.
195Zadanie 8.39.
196Zadanie 5.
197