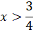
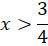
W tym zadaniu musisz podać dziedzinę funkcji
Dziedzina funkcji to wszystkie x, które spełniają funkcję. Zauważ, że funkcja
Czyli dziedzina funkcji należy do przedziału:
Ćwiczenie 2.
174Ćwiczenie 4.
175Ćwiczenie 5.
176Ćwiczenie 6.
177Zadanie 8.1.
178Zadanie 8.5.
178Zadanie 8.6.
179Zadanie 8.8.
179Zadanie 8.9.
179Zadanie 8.10.
179Zadanie 8.11.
179Ćwiczenie 7.
180Ćwiczenie 8.
181Ćwiczenie 10.
182Ćwiczenie 11.
183Ćwiczenie 12.
183Ćwiczenie 13.
183Zadanie 8.13.
184Zadanie 8.17.
185Zadanie 8.18.
185Zadanie 8.19.
185Zadanie 8.20.
185Ćwiczenie 14.
186Ćwiczenie 15.
187Ćwiczenie 16.
188Zadanie 8.22.
188Zadanie 8.23.
188Zadanie 8.25.
189Zadanie 8.26.
189Zadanie 8.28.
189Zadanie 8.29.
189Ćwiczenie 17.
190Ćwiczenie 18.
190Ćwiczenie 20.
191Ćwiczenie 21.
192Zadanie 8.30.
192Zadanie 8.31.
192Zadanie 8.32.
192Zadanie 8.34.
193Ćwiczenie 22.
193Ćwiczenie 23.
194Zadanie 8.35.
195Zadanie 8.36.
195Zadanie 8.37.
195Zadanie 8.39.
196Zadanie 5.
197