W tym zadaniu musisz obliczyć odpowiednią średnią arytmetyczną.
5
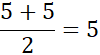
Są 2 dziewczynki. Średnia arytmetyczna ich ocen to ich suma podzielona przez 2.
Zadanie 1
58Zadanie 3
58Zadanie 4
58Zadanie 6
58Zadanie 9
59Ćwiczenie Dla dociekliwych 3
61Ćwiczenie IV
61Zadanie 1
65Zadanie 2
65Zadanie 3
65Zadanie 4
65Zadanie 8
66Zadanie 9
66Zadanie 1
73Zadanie 2
73Zadanie 3
73Zadanie 5
75Zadanie 7
75Zadanie 9
75Ćwiczenie Dla dociekliwych 1
76Ćwiczenie II
76Ćwiczenie III
76Ćwiczenie IV
76Zadanie 1
82Zadanie 2
82Zadanie 3
83Zadanie 4
83Zadanie 5
83Zadanie 6
83Ćwiczenie Dla dociekliwych 1
84Ćwiczenie Dla dociekliwych 4
84Ćwiczenie I
84Ćwiczenie II
84Ćwiczenie III
84Ćwiczenie IV
84Zadanie 1
90Zadanie 2
91Zadanie 3
91Zadanie 4
91Zadanie 5
91Zadanie 6
92Zadanie 7
92Zadanie 9
92Zadanie 10
92Zadanie 11
92Zadanie 1
97Zadanie 2
97Zadanie 3
98Zadanie 5
98Zadanie 6
98Zadanie 9
99Zadanie 11
99Zadanie 16
100Ćwiczenie Dla dociekliwych 1
100Ćwiczenie I
100Ćwiczenie II
100Ćwiczenie IV
100Zadanie 1
104Zadanie 2
104Zadanie 3
105Zadanie 5
105Zadanie 6
105Zadanie 9
106Zadanie 12
106Ćwiczenie Dla dociekliwych 1
107Ćwiczenie I
107Ćwiczenie II
107Ćwiczenie IV
107Ćwiczenie 2
113Zadanie 1
113Zadanie 2
114Zadanie 3
114Zadanie 5
114Zadanie 7
115Zadanie 9
115Ćwiczenie Dla dociekliwych 2
116Ćwiczenie I
116Ćwiczenie II
116Zadanie IV
116Zadanie 1
117Zadanie 2
117Zadanie 3
117Zadanie 4
117Zadanie 5
117Zadanie 7
117Zadanie 1
121Zadanie 4
121Zadanie 5
121Zadanie 6
121Zadanie 10
122Zadanie 11
122Zadanie 12
122Zadanie 13
122