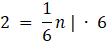
Oblicz długość boku wielokąta foremnego o obwodzie równym 12 cm, a mierze kąta wewnętrznego równej 150˚.
Wzór na miarę kąta wewnętrznego n -kąta jest równy :
Podziel długość obwodu przez liczbę boków, czyli n:
Zadanie 1.
68Zadanie 2.
68Zadanie 3.
68Zadanie 4.
68Zadanie 8.
68Ćwiczenie sprawdzające 1.
69Ćwiczenie sprawdzające 2.
69Zadanie 1.
70Zadanie 2.
70Zadanie 3.
70Zadanie 4.
70Zadanie 6.
71Zadanie 9.
71Ćwiczenie sprawdzające 2.
72Zadanie 2.
76Zadanie 3.
77Zadanie 6.
77Zadanie 7.
77Ćwiczenie sprawdzające 3.
78Zadanie 2.
79Zadanie 3.
79Zadanie 4.
79Zadanie 8.
79Zadanie 7.
82Ćwiczenie sprawdzające 4.
82Zadanie 16.
84