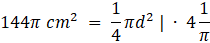
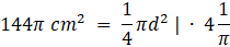
Oblicz średnice koła o polu równym
A.
B.
C.
D.
A. 24 cm
Wzór na pole koła o średnicy d to
Zadanie 1.
68Zadanie 2.
68Zadanie 3.
68Zadanie 4.
68Zadanie 8.
68Ćwiczenie sprawdzające 1.
69Ćwiczenie sprawdzające 2.
69Zadanie 1.
70Zadanie 2.
70Zadanie 3.
70Zadanie 4.
70Zadanie 6.
71Zadanie 9.
71Ćwiczenie sprawdzające 2.
72Zadanie 2.
76Zadanie 3.
77Zadanie 6.
77Zadanie 7.
77Ćwiczenie sprawdzające 3.
78Zadanie 2.
79Zadanie 3.
79Zadanie 4.
79Zadanie 8.
79Zadanie 7.
82Ćwiczenie sprawdzające 4.
82Zadanie 16.
84