W tym zadaniu musisz rozwiązać nierówność z dwiema wartościami bezwzględnymi i zaznaczyć jej zbiór rozwiązań na osi liczbowej.
1.
Brak rozwiązań
2.
3.
Zbiór rozwiązań nierówności
jest sumą przedziałów, więc:
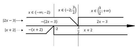
Najpierw sprawdzamy, kiedy wyrażenia
i
będą równe 0:
Gdy
to wyrażenie
będzie równe 0 oraz gdy
to wyrażenie
będzie równe 0, więc korzystając z definicji wartości bezwzględnej, zapisujemy:
Informację te przedstawmy na rysunku pomocniczym:
Rozważamy trzy przypadki, w których zapisujemy nierówność bez symbolu wartości bezwzględnej. Rozwiązujemy ją i sprawdzamy, które liczby z otrzymanego przedziału spełniają rozważany warunek, wyznaczając iloczyn przedziału z warunku oraz otrzymanego przedziału z nierówności:
1.
Brak rozwiązań
2.
3.
Zbiór rozwiązań nierówności
jest sumą przedziałów, więc:
Ćwiczenie A.
92Przykład 1.
92Przykład 2.
93Przykład 3.
93Zadanie 1.
94Zadanie 2.
94Zadanie 3.
94Zadanie 4.
94Zadanie 5.
94Zadanie 6.
94Zadanie 2.
98Zadanie 16.
100Zadanie 17.
101Ćwiczenie A.
102Ćwiczenie B.
103Przykład 1.
103Zadanie 2.
104Zadanie 3.
104Zadanie 4.
104Zadanie 5.
104Zadanie 6.
105Zadanie 8.
105Zadanie 10.
105Zadanie 15.
106Przykład 1.
108Przykład 2.
108Przykład 3.
109Zadanie 1.
110Zadanie 3.
110Zadanie 4.
110Zadanie 5.
110Zadanie 6.
110Zadanie 7.
110Zadanie 9.
110Zadanie 10.
111Ćwiczenie B.
112Zadanie 1.
116Zadanie 2.
116Zadanie 3.
116Zadanie 4.
116Zadanie 7.
116Ćwiczenie A.
117Przykład 2.
119Przykład 3.
119Przykład 4.
120Przykład 5.
120Zadanie 3.
121Zadanie 4.
121Zadanie 5.
121Zadanie 6.
121Zadanie 7.
121Zadanie 8.
122Zadanie 9.
122Zadanie 10.
122Zadanie 11.
122Zadanie 13.
122Zadanie 14.
122Zadanie 16.
123Zadanie 20.
124Zadanie 21.
124Zadanie 23.
124Przykład 1.
126Przykład C.
127Zadanie 3.
127Zadanie 5.
128Zadanie 6.
128Zadanie 1.
130Zadanie 4.
130Zadanie 17.
132Zadanie 1.
134Zadanie 2.
134Zadanie 3.
134Zadanie 4.
134Zadanie 5.
134Zadanie 7.
134Zadanie 8.
134