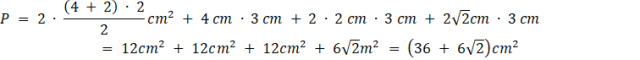
Oblicz w zeszycie pole powierzchni graniastosłupa, którego siatkę przedstawiono na rysunku.
Oblicz pola powierzchni wszystkich figur tworzących siatkę i zsumuj je:
Zadanie 2.
87Zadanie 3.
87Zadanie 6.
87Ćwiczenie sprawdzające 3.
88Zadanie 1.
90Zadanie 2.
91Zadanie 3.
91Zadanie 4.
91Zadanie 1.
96Zadanie 2.
96Ćwiczenie sprawdzające 1.
97Ćwiczenie sprawdzające 2.
98Zadanie 1.
100Zadanie 2.
100Zadanie 4.
100Zadanie 6.
100Ćwiczenie sprawdzające 1.
101Zadanie 1.
102Zadanie 2.
102Zadanie 1.
104Zadanie 2.
104Zadanie 2.
108Zadanie 3.
108Zadanie 4.
108Zadanie 6.
109Zadanie 8.
109Ćwiczenie sprawdzające 3.
109Zadanie 1.
110Zadanie 3.
111Ćwiczenie sprawdzające 1.
111Zadanie 1.
112Zadanie 2.
113Zadanie 3.
113Zadanie 1.
115Zadanie 2.
115