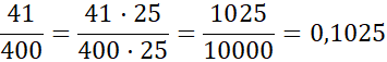
Sprowadź ułamek do liczby o mianowniku 10, 100, 1000 lub 10000, a następnie zapisz go w postaci dziesiętnej.
Na początek rozszerz licznik i mianownik ułamka, tak by mianownik wyniósł 10000. Na koniec zapisz ułamek w postaci dziesiętnej.
Ćwiczenie 1
8Ćwiczenie 2
9Ćwiczenie 3
9Ćwiczenie 4
10Ćwiczenie 5
10Zadanie 1
11Zadanie 4
11Zadanie 5
11Zadanie 6
11Zadanie Zadanie sprawdzające1
12Zadanie Zadanie sprawdzające3
13Zadanie 1
16Zadanie 2
16Zadanie 3
17Zadanie 6
17Zadanie 1
18Zadanie 3
18Zadanie 1
21Zadanie 2
21Zadanie 4
21Zadanie 1
22Zadanie 2
22Zadanie 3
22Zadanie 5
22Zadanie Zadanie sprawdzające1
23Zadanie 1
24Zadanie 3
24Zadanie 4
24Zadanie 6
24Zadanie 7
24Zadanie Zadanie sprawdzające1
25Ćwiczenie 1
25Zadanie 1
25Zadanie 2
25Zadanie 4
26Zadanie 5
26Zadanie 7
27Zadanie Zadanie sprawdzające1
27Ćwiczenie 1
29Ćwiczenie 2
29Ćwiczenie 3
30Zadanie 1
31Zadanie 3
31Zadanie 4
31Zadanie 8
32Zadanie 9
32Ćwiczenie 1
33Ćwiczenie 2
33Zadanie 1
34Zadanie 6
35Zadanie 7
35Zadanie Zadanie sprawdzające1
35Zadanie Zadanie sprawdzające2
35Ćwiczenie 6
39Zadanie 2
39Zadanie 3
39Zadanie 4
39Zadanie 6
39Zadanie 7
39Zadanie 8
39Zadanie Zadanie sprawdzające1
41Zadanie Zadanie sprawdzające2
41