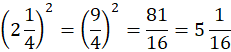
Oblicz, ile wynosi działanie ?
W matematyce, potęga to operacja, która polega na wielokrotnym mnożeniu danej liczby przez siebie. Potęgę możesz zapisać w postaci aⁿ, gdzie a jest podstawą potęgi, a n jest wykładnikiem potęgi.
Zadanie 1.
Zadanie 2.
Zadanie 3.
Podpunkt a)
Podpunkt b)
Zadanie 4.
Zadanie 5.
Zadanie 6.
Podpunkt c)
Podpunkt d)
Podpunkt e)
Podpunkt f)
Zadanie 7.
Zadanie 8.
Zadanie 9.
Podpunkt g)
Podpunkt h)
Podpunkt i)