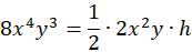
Wyznacz wysokość trójkąta, wiedząc, ze jego pole wynosi .
Skorzystaj, ze wzoru na pole trójkąt podstawiając dane: i wyznacz h.
Zadanie 1.
Zadanie 2.
Zadanie 3.
Podpunkt a)
Podpunkt b)
Zadanie 4.
Zadanie 5.
Zadanie 6.
Podpunkt c)
Podpunkt d)
Podpunkt e)
Podpunkt f)
Zadanie 7.
Zadanie 8.
Zadanie 9.
Podpunkt g)
Podpunkt h)
Podpunkt i)