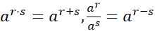
W tym zadaniu podaj wartość wyrażenia
Aby rozwiązać to zadanie musisz uprościć wyrażenie. Pamiętaj, że możesz rozpisać liczby w potęgach
Zadanie 1.1.
278Zadanie 1.2.
278Zadanie 1.3.
278Zadanie 1.4.
278Zadanie 1.5.
278Zadanie 1.6.
278Zadanie 1.7.
279Zadanie 1.8.
279Zadanie 1.9.
279Zadanie 1.11.
279Zadanie 2.1.
286Zadanie 2.2.
278Zadanie 2.3.
286Zadanie 2.4.
286Zadanie 2.9.
286Zadanie 2.10.
287Zadanie 2.11.
287Zadanie 2.12.
287Zadanie 2.13.
287Zadanie 2.14.
287Zadanie Prosto do matury 7.
288Zadanie 3.1.
291Zadanie 3.2.
291Zadanie 3.3.
291Zadanie 3.4.
291Zadanie 3.5.
291Zadanie 4.1.
296Zadanie 4.2.
297Zadanie 4.3.
297Zadanie 4.4.
297Zadanie 4.5.
297Zadanie 4.6.
297Zadanie 4.7.
297Zadanie 4.8.
298Zadanie 4.9.
298Zadanie 4.10.
298Zadanie 4.11.
298Zadanie 4.14.
298Zadanie 5.1.
306Zadanie 5.2.
306Zadanie 5.3.
306Zadanie 5.4.
306Zadanie 5.5.
306Zadanie 5.8.
307Zadanie 5.9.
307Zadanie 5.10.
307Zadanie 33.
313Zadanie 35.
313Zadanie 36.
314Zadanie 38.
314Zadanie 39.
314Zadanie 40.
314Zadanie 41.
314Zadanie 45.
315Zadanie 46.
315Zadanie 47.
315Zadanie 50.
315Zadanie 51.
315Zadanie 52.
315