W tym zadaniu porównaj wartość
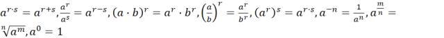
Aby rozwiązać to zdanie przedstaw podane liczby jako potęgi tych samych liczb i porównaj je ze sobą. Wykorzystaj własności potęg
Zadanie 1.1.
278Zadanie 1.2.
278Zadanie 1.3.
278Zadanie 1.4.
278Zadanie 1.5.
278Zadanie 1.6.
278Zadanie 1.7.
279Zadanie 1.8.
279Zadanie 1.9.
279Zadanie 1.11.
279Zadanie 2.1.
286Zadanie 2.2.
278Zadanie 2.3.
286Zadanie 2.4.
286Zadanie 2.9.
286Zadanie 2.10.
287Zadanie 2.11.
287Zadanie 2.12.
287Zadanie 2.13.
287Zadanie 2.14.
287Zadanie Prosto do matury 7.
288Zadanie 3.1.
291Zadanie 3.2.
291Zadanie 3.3.
291Zadanie 3.4.
291Zadanie 3.5.
291Zadanie 4.1.
296Zadanie 4.2.
297Zadanie 4.3.
297Zadanie 4.4.
297Zadanie 4.5.
297Zadanie 4.6.
297Zadanie 4.7.
297Zadanie 4.8.
298Zadanie 4.9.
298Zadanie 4.10.
298Zadanie 4.11.
298Zadanie 4.14.
298Zadanie 5.1.
306Zadanie 5.2.
306Zadanie 5.3.
306Zadanie 5.4.
306Zadanie 5.5.
306Zadanie 5.8.
307Zadanie 5.9.
307Zadanie 5.10.
307Zadanie 33.
313Zadanie 35.
313Zadanie 36.
314Zadanie 38.
314Zadanie 39.
314Zadanie 40.
314Zadanie 41.
314Zadanie 45.
315Zadanie 46.
315Zadanie 47.
315Zadanie 50.
315Zadanie 51.
315Zadanie 52.
315