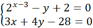
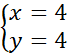
W tym zadaniu znajdź rozwiązanie układu równań
Aby rozwiązać to zadanie doprowadź równania do postaci, w której po jednej stronie jest y, a po drugiej wyrażenie z x. Narysuj wykresy funkcji opisanych równaniami. Odczytaj współrzędne punktu przecięcia wykresów, które są rozwiązaniami układu równań.
Zadanie 1.1.
278Zadanie 1.2.
278Zadanie 1.3.
278Zadanie 1.4.
278Zadanie 1.5.
278Zadanie 1.6.
278Zadanie 1.7.
279Zadanie 1.8.
279Zadanie 1.9.
279Zadanie 1.11.
279Zadanie 2.1.
286Zadanie 2.2.
278Zadanie 2.3.
286Zadanie 2.4.
286Zadanie 2.9.
286Zadanie 2.10.
287Zadanie 2.11.
287Zadanie 2.12.
287Zadanie 2.13.
287Zadanie 2.14.
287Zadanie Prosto do matury 7.
288Zadanie 3.1.
291Zadanie 3.2.
291Zadanie 3.3.
291Zadanie 3.4.
291Zadanie 3.5.
291Zadanie 4.1.
296Zadanie 4.2.
297Zadanie 4.3.
297Zadanie 4.4.
297Zadanie 4.5.
297Zadanie 4.6.
297Zadanie 4.7.
297Zadanie 4.8.
298Zadanie 4.9.
298Zadanie 4.10.
298Zadanie 4.11.
298Zadanie 4.14.
298Zadanie 5.1.
306Zadanie 5.2.
306Zadanie 5.3.
306Zadanie 5.4.
306Zadanie 5.5.
306Zadanie 5.8.
307Zadanie 5.9.
307Zadanie 5.10.
307Zadanie 33.
313Zadanie 35.
313Zadanie 36.
314Zadanie 38.
314Zadanie 39.
314Zadanie 40.
314Zadanie 41.
314Zadanie 45.
315Zadanie 46.
315Zadanie 47.
315Zadanie 50.
315Zadanie 51.
315Zadanie 52.
315