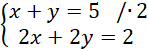
Musisz podstawić proponowane odpowiedzi oraz sprawdzić która z nich daje poprawne wyniki.
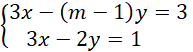
Układ równań nie ma rozwiązania, gdy: A. m = 2,
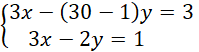
Układ równań ma rozwiązanie, gdy: D. m = 30,
Dla m = 2:
Dla m = 30:
Ćwiczenie 1
151Ćwiczenie 3
152Ćwiczenie 4
152Zadanie 7.2
152Zadanie 7.3
152Ćwiczenie 5
153Ćwiczenie 6
153Ćwiczenie 7
155Ćwiczenie 8
155Ćwiczenie 9
156Zadanie 7.4
156Zadanie 7.5
156Zadanie 7.6
157Zadanie 7.7
157Zadanie 7.9
158Zadanie 7.10
158Zadanie 7.12
158Zadanie 7.13
158Ćwiczenie 10
159Ćwiczenie 13
161Zadanie 7.14
161Zadanie 7.23
163Ćwiczenie 14
163Ćwiczenie 16
165Ćwiczenie 18
166Ćwiczenie 19
166Ćwiczenie 20
167Zadanie 7.25
168Zadanie 7.26
168Zadanie 7.27
168Zadanie 7.28
168Zadanie 7.32
169Zadanie 7.33
169Zadanie 7.34
169Zadanie 7.35
169Zadanie 7.36
169Zadanie 7.37
169