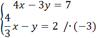
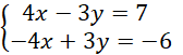
Musisz znaleźć odpowiednią wartość parametru a dla którego układ nie da żadnego rozwiązania.
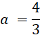
Układ równań będzie sprzeczny dla
Ćwiczenie 1
151Ćwiczenie 3
152Ćwiczenie 4
152Zadanie 7.2
152Zadanie 7.3
152Ćwiczenie 5
153Ćwiczenie 6
153Ćwiczenie 7
155Ćwiczenie 8
155Ćwiczenie 9
156Zadanie 7.4
156Zadanie 7.5
156Zadanie 7.6
157Zadanie 7.7
157Zadanie 7.9
158Zadanie 7.10
158Zadanie 7.12
158Zadanie 7.13
158Ćwiczenie 10
159Ćwiczenie 13
161Zadanie 7.14
161Zadanie 7.23
163Ćwiczenie 14
163Ćwiczenie 16
165Ćwiczenie 18
166Ćwiczenie 19
166Ćwiczenie 20
167Zadanie 7.25
168Zadanie 7.26
168Zadanie 7.27
168Zadanie 7.28
168Zadanie 7.32
169Zadanie 7.33
169Zadanie 7.34
169Zadanie 7.35
169Zadanie 7.36
169Zadanie 7.37
169