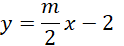
Podaj, dla jakich wartości parametru m podany układ równań ma jedno rozwiązanie.
Jedno rozwiązanie wystąpi dla: m ∈ R\{
Z pierwszego równania:
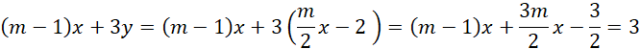
Podstawiając do drugiego równania:
Ćwiczenie 1
151Ćwiczenie 3
152Ćwiczenie 4
152Zadanie 7.2
152Zadanie 7.3
152Ćwiczenie 5
153Ćwiczenie 6
153Ćwiczenie 7
155Ćwiczenie 8
155Ćwiczenie 9
156Zadanie 7.4
156Zadanie 7.5
156Zadanie 7.6
157Zadanie 7.7
157Zadanie 7.9
158Zadanie 7.10
158Zadanie 7.12
158Zadanie 7.13
158Ćwiczenie 10
159Ćwiczenie 13
161Zadanie 7.14
161Zadanie 7.23
163Ćwiczenie 14
163Ćwiczenie 16
165Ćwiczenie 18
166Ćwiczenie 19
166Ćwiczenie 20
167Zadanie 7.25
168Zadanie 7.26
168Zadanie 7.27
168Zadanie 7.28
168Zadanie 7.32
169Zadanie 7.33
169Zadanie 7.34
169Zadanie 7.35
169Zadanie 7.36
169Zadanie 7.37
169