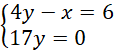
Zadanie

Musisz podstawić niewiadomą wyznaczoną z jednego równania i podstawić do drugiego równania.

Rozwiązanie

Wyjaśnienie

Zadania z tego działu
7. Układy równań liniowych z dwiema niewiadomymi
150