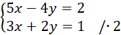
Musisz doprowadzić oba równania do takie postaci, by ich suma całkowicie zredukowała jedną z niewiadomych.
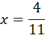
Rozwiązaniem układu równań jest para liczb (–1, 1).
Z dowolnego równania:
Ćwiczenie 1
151Ćwiczenie 3
152Ćwiczenie 4
152Zadanie 7.2
152Zadanie 7.3
152Ćwiczenie 5
153Ćwiczenie 6
153Ćwiczenie 7
155Ćwiczenie 8
155Ćwiczenie 9
156Zadanie 7.4
156Zadanie 7.5
156Zadanie 7.6
157Zadanie 7.7
157Zadanie 7.9
158Zadanie 7.10
158Zadanie 7.12
158Zadanie 7.13
158Ćwiczenie 10
159Ćwiczenie 13
161Zadanie 7.14
161Zadanie 7.23
163Ćwiczenie 14
163Ćwiczenie 16
165Ćwiczenie 18
166Ćwiczenie 19
166Ćwiczenie 20
167Zadanie 7.25
168Zadanie 7.26
168Zadanie 7.27
168Zadanie 7.28
168Zadanie 7.32
169Zadanie 7.33
169Zadanie 7.34
169Zadanie 7.35
169Zadanie 7.36
169Zadanie 7.37
169