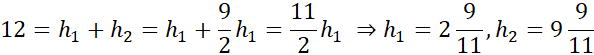
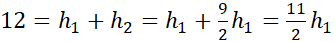
Należy obliczyć odległość punkt od podstaw, w którym przecinają się przekątne.
Z tw. Pitagorasa:
Niech
Zadanie 4.1.
103Zadanie 4.2.
103Zadanie 4.6.
104Zadanie 4.8.
104Zadanie 4.9.
104Zadanie 4.11.
104Zadanie 4.17.
105Zadanie 4.19.
105Zadanie 4.24.
106Zadanie 4.25.
106Zadanie 4.26.
106Zadanie 4.27.
106Zadanie 4.28.
106Zadanie 4.30.
107Zadanie 4.32.
107Zadanie 4.35.
108Zadanie 4.39.
108Zadanie 4.41.
108Zadanie 4.43.
109Zadanie 4.55.
110Zadanie 4.56.
110Zadanie 4.62.
110Zadanie 4.64.
111Zadanie 4.68.
111Zadanie 4.70.
111Zadanie 4.75.
112Zadanie 4.77.
112Zadanie 4.82.
113Zadanie 4.83.
113Zadanie 4.84.
113Zadanie 4.85.
113Zadanie 4.86.
113Zadanie 4.96.
114Zadanie 4.98.
114Zadanie 4.100.
115Zadanie 4.101.
115Zadanie 4.104.
115Zadanie 4.129.
119Zadanie 4.130.
119Zadanie 4.131.
120Zadanie 4.132.
120Zadanie 4.134
120Zadanie 4.136.
121Zadanie 4.142.
121Zadanie 4.26.
125Zadanie 4.28.
126Zadanie 4.32.
126