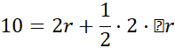
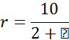
Należy obliczyć długość promienia półkola F, korzystając ze skali podobieństwa dwóch figur.
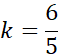
Skala podobieństwa figur oznacza, o ile razy dana figura jest mniejsza lub większa od drugiej.
Zadanie 4.1.
103Zadanie 4.2.
103Zadanie 4.6.
104Zadanie 4.8.
104Zadanie 4.9.
104Zadanie 4.11.
104Zadanie 4.17.
105Zadanie 4.19.
105Zadanie 4.24.
106Zadanie 4.25.
106Zadanie 4.26.
106Zadanie 4.27.
106Zadanie 4.28.
106Zadanie 4.30.
107Zadanie 4.32.
107Zadanie 4.35.
108Zadanie 4.39.
108Zadanie 4.41.
108Zadanie 4.43.
109Zadanie 4.55.
110Zadanie 4.56.
110Zadanie 4.62.
110Zadanie 4.64.
111Zadanie 4.68.
111Zadanie 4.70.
111Zadanie 4.75.
112Zadanie 4.77.
112Zadanie 4.82.
113Zadanie 4.83.
113Zadanie 4.84.
113Zadanie 4.85.
113Zadanie 4.86.
113Zadanie 4.96.
114Zadanie 4.98.
114Zadanie 4.100.
115Zadanie 4.101.
115Zadanie 4.104.
115Zadanie 4.129.
119Zadanie 4.130.
119Zadanie 4.131.
120Zadanie 4.132.
120Zadanie 4.134
120Zadanie 4.136.
121Zadanie 4.142.
121Zadanie 4.26.
125Zadanie 4.28.
126Zadanie 4.32.
126