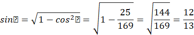
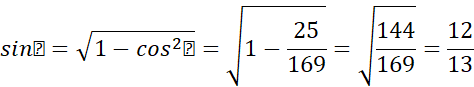
Należy oblicz wysokość danego trapezu.
Zadanie 4.1.
103Zadanie 4.2.
103Zadanie 4.6.
104Zadanie 4.8.
104Zadanie 4.9.
104Zadanie 4.11.
104Zadanie 4.17.
105Zadanie 4.19.
105Zadanie 4.24.
106Zadanie 4.25.
106Zadanie 4.26.
106Zadanie 4.27.
106Zadanie 4.28.
106Zadanie 4.30.
107Zadanie 4.32.
107Zadanie 4.35.
108Zadanie 4.39.
108Zadanie 4.41.
108Zadanie 4.43.
109Zadanie 4.55.
110Zadanie 4.56.
110Zadanie 4.62.
110Zadanie 4.64.
111Zadanie 4.68.
111Zadanie 4.70.
111Zadanie 4.75.
112Zadanie 4.77.
112Zadanie 4.82.
113Zadanie 4.83.
113Zadanie 4.84.
113Zadanie 4.85.
113Zadanie 4.86.
113Zadanie 4.96.
114Zadanie 4.98.
114Zadanie 4.100.
115Zadanie 4.101.
115Zadanie 4.104.
115Zadanie 4.129.
119Zadanie 4.130.
119Zadanie 4.131.
120Zadanie 4.132.
120Zadanie 4.134
120Zadanie 4.136.
121Zadanie 4.142.
121Zadanie 4.26.
125Zadanie 4.28.
126Zadanie 4.32.
126