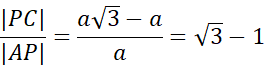
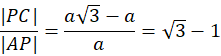
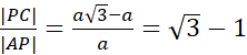
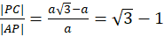
Należy wykazać powyższą tożsamość.
a — bok rombu
Z tw. cosinusów:
Niech a to bok rombu. Jeżeli masz dane dwa boki trójkąta oraz kąt między nimi, to z twierdzenia cosinusów możesz wyliczyć trzeci bok:
Zadanie 4.1.
103Zadanie 4.2.
103Zadanie 4.6.
104Zadanie 4.8.
104Zadanie 4.9.
104Zadanie 4.11.
104Zadanie 4.17.
105Zadanie 4.19.
105Zadanie 4.24.
106Zadanie 4.25.
106Zadanie 4.26.
106Zadanie 4.27.
106Zadanie 4.28.
106Zadanie 4.30.
107Zadanie 4.32.
107Zadanie 4.35.
108Zadanie 4.39.
108Zadanie 4.41.
108Zadanie 4.43.
109Zadanie 4.55.
110Zadanie 4.56.
110Zadanie 4.62.
110Zadanie 4.64.
111Zadanie 4.68.
111Zadanie 4.70.
111Zadanie 4.75.
112Zadanie 4.77.
112Zadanie 4.82.
113Zadanie 4.83.
113Zadanie 4.84.
113Zadanie 4.85.
113Zadanie 4.86.
113Zadanie 4.96.
114Zadanie 4.98.
114Zadanie 4.100.
115Zadanie 4.101.
115Zadanie 4.104.
115Zadanie 4.129.
119Zadanie 4.130.
119Zadanie 4.131.
120Zadanie 4.132.
120Zadanie 4.134
120Zadanie 4.136.
121Zadanie 4.142.
121Zadanie 4.26.
125Zadanie 4.28.
126Zadanie 4.32.
126