Należy obliczyć długości boków prostokąta.
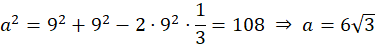
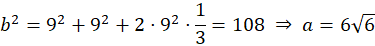
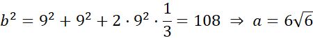
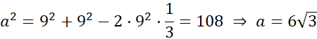
Z tw. cosinusów:
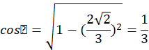
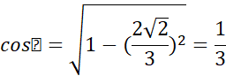
Suma kątów w trójkącie wynosi
Zadanie 4.1.
103Zadanie 4.2.
103Zadanie 4.6.
104Zadanie 4.8.
104Zadanie 4.9.
104Zadanie 4.11.
104Zadanie 4.17.
105Zadanie 4.19.
105Zadanie 4.24.
106Zadanie 4.25.
106Zadanie 4.26.
106Zadanie 4.27.
106Zadanie 4.28.
106Zadanie 4.30.
107Zadanie 4.32.
107Zadanie 4.35.
108Zadanie 4.39.
108Zadanie 4.41.
108Zadanie 4.43.
109Zadanie 4.55.
110Zadanie 4.56.
110Zadanie 4.62.
110Zadanie 4.64.
111Zadanie 4.68.
111Zadanie 4.70.
111Zadanie 4.75.
112Zadanie 4.77.
112Zadanie 4.82.
113Zadanie 4.83.
113Zadanie 4.84.
113Zadanie 4.85.
113Zadanie 4.86.
113Zadanie 4.96.
114Zadanie 4.98.
114Zadanie 4.100.
115Zadanie 4.101.
115Zadanie 4.104.
115Zadanie 4.129.
119Zadanie 4.130.
119Zadanie 4.131.
120Zadanie 4.132.
120Zadanie 4.134
120Zadanie 4.136.
121Zadanie 4.142.
121Zadanie 4.26.
125Zadanie 4.28.
126Zadanie 4.32.
126