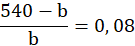
W tym zadaniu musisz obliczyć liczbę b, gdy wiadomo, że przybliżenie z niedomiarem jest równe 540, a błąd procentowy tego przybliżenia to około 8%.
Błąd bezwzględny jest równy wartości bezwzględnej z różnicy między przybliżeniem i wartością dokładną. Przybliżenie liczby z nadmiarem to jest wtedy, gdy przybliżenie jest większe od dokładnej wartości, natomiast przybliżenie liczby z niedomiarem jest wtedy, gdy przybliżenie jest mniejsze od dokładnej wartości liczby. Błąd bezwzględny jest równy wartości bezwzględnej z różnicy między przybliżeniem i wartością dokładną. Błąd procentowy to błąd względny wyrażany w procentach, natomiast błąd względny oblicz jako ilorazu błędu bezwzględnego oraz wartości dokładnej.
Ćwiczenie B.
130Zadanie C.
131Zadanie 1.
131Zadanie 3.
132Zadanie 5.
132Zadanie 7.
132Zadanie 10.
132Zadanie 11.
133Ćwiczenie A.
12Zadanie 1.
12Zadanie 2.
12Zadanie 4.
139Zadanie 8.
140Zadanie 9
140Zadanie 10.
140Zadanie 11.
140Zadanie 12.
141Zadanie 13.
141Zadanie 14.
141Zadanie 18.
142Zadanie 19.
143Zadanie 20.
143Zadanie 21.
12Ćwiczenie A.
145Zadanie 1.
146Zadanie 3.
146Zadanie 4.
146Zadanie 5.
147Zadanie 9.
12Zadanie 1.
154Zadanie 2.
154Zadanie 3.
154Zadanie 6.
155Zadanie 8.
156Zadanie 9.
156Zadanie 14.
158Zadanie 4.
160Zadanie 10.
160