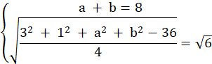
Zadanie polega obliczeniu sumy kwadratów liczb a i b.
Prawidłowa odpowiedź to 50.
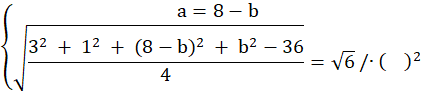
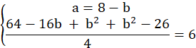
Ułóż układ równań jako równanie na podstawie średniej arytmetycznej
Ćwiczenie B.
130Zadanie C.
131Zadanie 1.
131Zadanie 3.
132Zadanie 5.
132Zadanie 7.
132Zadanie 10.
132Zadanie 11.
133Ćwiczenie A.
12Zadanie 1.
12Zadanie 2.
12Zadanie 4.
139Zadanie 8.
140Zadanie 9
140Zadanie 10.
140Zadanie 11.
140Zadanie 12.
141Zadanie 13.
141Zadanie 14.
141Zadanie 18.
142Zadanie 19.
143Zadanie 20.
143Zadanie 21.
12Ćwiczenie A.
145Zadanie 1.
146Zadanie 3.
146Zadanie 4.
146Zadanie 5.
147Zadanie 9.
12Zadanie 1.
154Zadanie 2.
154Zadanie 3.
154Zadanie 6.
155Zadanie 8.
156Zadanie 9.
156Zadanie 14.
158Zadanie 4.
160Zadanie 10.
160