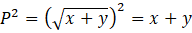
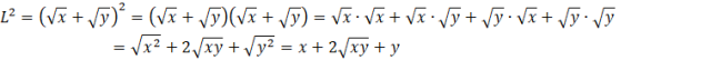
W tym zadaniu musisz pokazać, że obie strony równania są od siebie różne.
L2 ≠ P2, więc L ≠ P
Ze względu na to, że obie liczby są dodatnie, obie strony równania są dodatnie. Dzięki temu, jeśli wykażesz, że kwadraty obu stron są różne to oznacza, że równość też nie jest prawdziwa.
Zadanie 1
9Zadanie 2
9Zadanie 4
9Zadanie 5
9Zadanie 6
9Zadanie 7
9Zadanie 9
9Zadanie 11
10Zadanie 12
10Zadanie 13
10Zadanie 14
10Zadanie 16
10Zadanie 19
10Zadanie 20
11Zadanie 21
11Zadanie 22
11Zadanie 24
11Zadanie 26
11Zadanie 2
12Zadanie 3
12Zadanie 4
12Zadanie 7
12Zadanie 9
13Zadanie 10
13Zadanie 11
13Zadanie 13
13Zadanie 17
14Zadanie 19
14Zadanie 21
14Zadanie 22
14Zadanie 1
15Zadanie 2
15Zadanie 5
15Zadanie 6
15Zadanie 7
15Zadanie 9
15Zadanie 13
16Zadanie 14
16Zadanie 15
16Zadanie 16
16Zadanie 18
16Zadanie 21
17Zadanie 24
17Zadanie 25
17Zadanie 1
18Zadanie 2
18Zadanie 3
18Zadanie 4
18Zadanie 5
18Zadanie 6
18Zadanie 7
18Zadanie 8
18Zadanie 10
19Zadanie 11
19Zadanie 12
19Zadanie 13
19Zadanie 15
19Zadanie 17
19Zadanie 18
19Zadanie 22
20Zadanie 24
20Zadanie 30
20Zadanie 1
21Zadanie 2
21Zadanie 3
21Zadanie 4
21Zadanie 5
21Zadanie 6
21Zadanie 7
21Zadanie 8
21Zadanie 11
22Zadanie 12
22Zadanie 13
22Zadanie 14
22Zadanie 15
22Zadanie 16
22Zadanie 17
22Zadanie 18
23Zadanie 20
23Zadanie 21
23Zadanie 22
23Zadanie 1
24Zadanie 2
24Zadanie 3
24Zadanie 4
24Zadanie 6
24Zadanie 7
24Zadanie 8
24Zadanie 10
25Zadanie 11
25Zadanie 12
25Zadanie 13
25Zadanie 14
25Zadanie 17
26Zadanie 18
26Zadanie 20
26Zadanie 21
26Zadanie 22
26Zadanie 23
26Zadanie 24
26Zadanie 1
27Zadanie 2
27Zadanie 3
27Zadanie 4
27Zadanie 6
27Zadanie 7
27Zadanie 8
27Zadanie 9
28Zadanie 10
28Zadanie 12
28Zadanie 13
28Zadanie 14
28Zadanie 15
28Zadanie 16
28Zadanie 19
29Zadanie 20
29Zadanie 22
29Zadanie 23
29Zadanie 24
29Zadanie 1
30Zadanie 2
30Zadanie 3
30Zadanie 4
30Zadanie 5
30Zadanie 6
30Zadanie 7
30Zadanie 8
30Zadanie 9
30Zadanie 10
31Zadanie 11
31Zadanie 12
31Zadanie 13
31Zadanie 14
31Zadanie 15
31Zadanie 16
31Zadanie 17
31Zadanie 18
31Zadanie 19
31Zadanie 20
32Zadanie 21
32Zadanie 23
32Zadanie 25
32Zadanie 26
32Zadanie 27
32Zadanie 29
32Zadanie 1
33Zadanie 2
33Zadanie 3
33Zadanie 4
33Zadanie 6
33Zadanie 7
33Zadanie 8
33Zadanie 9
34Zadanie 12
34Zadanie 13
34Zadanie 14
34Zadanie 15
34Zadanie 16
34Zadanie 17
34Zadanie 18
35Zadanie 19
35Zadanie 20
35Zadanie 21
35Zadanie 22
35Zadanie 23
35Zadanie 2
36Zadanie 3
36Zadanie 4
36Zadanie 5
36Zadanie 9
37Zadanie 10
37Zadanie 12
37Zadanie 1
39Zadanie 3
39Zadanie 4
39Zadanie 5
39Zadanie 6
39Zadanie 7
39Zadanie 8
40Zadanie 9
40Zadanie 10
40Zadanie 11
40Zadanie 12
40Zadanie 14
40Zadanie 15
40Zadanie 16
41Zadanie 17
41Zadanie 18
41Zadanie 19
41Zadanie 20
41Zadanie 21
41Zadanie 22
41Zadanie 23
41Zadanie 24
42Zadanie 25
42Zadanie 26
42Zadanie 28
42