Zadanie

W tym zadaniu musisz wyznaczyć podaną granicę, przekształcając wielkości i ze wzoru na sumę n początkowych wyrazów ciągu arytmetycznego.

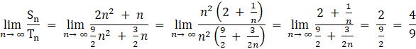
Rozwiązanie

Wyjaśnienie

Zadania z tego działu
3. Ciągi
125
3.16. Obliczanie granic ciągów
186

Zadanie 1

186

Zadanie 2

186

Zadanie 3

186

Zadanie 4

186

Zadanie 5

186

Zadanie 6

186

Zadanie 7

186

Zadanie 8

187

Zadanie 9

187

Zadanie 11

187

Zadanie 14

187

Zadanie 15

187

Zadanie 16

188

Zadanie 17

188

Zadanie 19

188

Zadanie 20

188

Zadanie 21

188

Zadanie 25

189

Zadanie 27

189
3.17. Obliczanie granic ciągów (2)
190
3.18. Szereg geometryczny
193

Zadanie 1

193

Zadanie 2

193

Zadanie 3

193

Zadanie 4

193

Zadanie 5

193

Zadanie 6

193

Zadanie 7

193

Zadanie 8

194

Zadanie 9

194

Zadanie 10

194

Zadanie 11

194

Zadanie 12

194

Zadanie 13

194

Zadanie 14

194

Zadanie 15

194

Zadanie 16

195

Zadanie 19

195

Zadanie 22

195

Zadanie 23

196

Zadanie 24

196

Zadanie 25

196

Zadanie 26

196

Zadanie 27

196

Zadanie 29

196
Powtórzenie
197

Zadanie 1

197

Zadanie 3

197

Zadanie 5

197

Zadanie 7

197

Zadanie 8

197

Zadanie 9

197

Zadanie 10

197

Zadanie 11

198

Zadanie 15

198

Zadanie 16

198

Zadanie 19

199

Zadanie 20

199

Zadanie 23

199

Zadanie 24

199

Zadanie 26

199

Zadanie 29

200

Zadanie 30

200

Zadanie 37

200

Zadanie 38

201

Zadanie 40

201

Zadanie 41

201

Zadanie 42

201

Zadanie 43

201

Zadanie 44

201

Zadanie 45

201