W tym zadaniu musisz zbadać monotoniczność ciągu
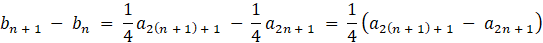
Powyższa różnica jest iloczynem liczby dodatniej i różnicy dwóch kolejnych wyrazów ciągu
Ciąg
Ciąg
· rosnący, gdy
· malejący, gdy
· stały, gdy
W dowodzie tym powinieneś rozpatrzeć różnicę
Zadanie 1
129Zadanie 2
129Zadanie 3
129Zadanie 6
129Zadanie 7
130Zadanie 8
130Zadanie 11
130Zadanie 12
131Zadanie 13
131Zadanie 14
131Zadanie 15
131Zadanie 16
132Zadanie 17
132Zadanie 18
132Zadanie 20
132Zadanie 21
132Zadanie 22
133Zadanie 23
133Zadanie 25
133Zadanie 1
134Zadanie 3
134Zadanie 5
134Zadanie 6
134Zadanie 7
135Zadanie 9
135Zadanie 12
135Zadanie 14
135Zadanie 15
136Zadanie 17
136Zadanie 19
136Zadanie 23
137Zadanie 24
137Zadanie 27
137Zadanie 1
138Zadanie 2
138Zadanie 4
138Zadanie 7
138Zadanie 8
138Zadanie 10
139Zadanie 11
139Zadanie 12
139Zadanie 15
140Zadanie 16
140Zadanie 17
140Zadanie 18
140Zadanie 23
141Zadanie 24
141Zadanie 25
141Zadanie 26
141Zadanie 27
141Zadanie 28
141Zadanie 1
142Zadanie 2
142Zadanie 4
142Zadanie 5
143Zadanie 6
143Zadanie 7
143Zadanie 8
143Zadanie 10
144Zadanie 12
144Zadanie 15
145Zadanie 18
145Zadanie 22
146Zadanie 25
146Zadanie 1
147Zadanie 4
147Zadanie 6
147Zadanie 9
148Zadanie 10
148Zadanie 11
148Zadanie 12
148Zadanie 13
148Zadanie 14
148Zadanie 15
149Zadanie 1
150Zadanie 2
150Zadanie 3
150Zadanie 4
150Zadanie 7
150Zadanie 8
151Zadanie 10
151Zadanie 11
151Zadanie 12
151Zadanie 13
151Zadanie 15
152Zadanie 23
152Zadanie 1
153Zadanie 9
154Zadanie 10
154Zadanie 14
154Zadanie 16
155Zadanie 17
155Zadanie 24
156Zadanie 25
156Zadanie 1
157Zadanie 2
157Zadanie 6
157Zadanie 8
158Zadanie 9
158Zadanie 13
158Zadanie 15
158Zadanie 17
159Zadanie 20
159Zadanie 21
159Zadanie 25
160Zadanie 29
160Zadanie 1
161Zadanie 2
161Zadanie 3
161Zadanie 5
161Zadanie 6
161Zadanie 7
161Zadanie 10
162Zadanie 11
162Zadanie 12
162Zadanie 13
162Zadanie 15
162Zadanie 18
162Zadanie 21
163Zadanie 26
163Zadanie 28
163Zadanie 1
164Zadanie 2
164Zadanie 3
164Zadanie 4
164Zadanie 5
164Zadanie 7
164Zadanie 8
164Zadanie 11
165Zadanie 12
165Zadanie 23
166Zadanie 24
166Zadanie 25
166Zadanie 1
167Zadanie 2
167Zadanie 3
167Zadanie 7
167Zadanie 14
168Zadanie 17
168Zadanie 19
169Zadanie 26
169Zadanie 2
170Zadanie 3
170Zadanie 4
170Zadanie 6
170Zadanie 11
171Zadanie 13
171Zadanie 14
171Zadanie 21
172Zadanie 25
172Zadanie 1
173Zadanie 2
173Zadanie 3
173Zadanie 4
173Zadanie 5
173Zadanie 7
174Zadanie 15
175Zadanie 17
176Zadanie 20
176Zadanie 21
177Zadanie 25
177Zadanie 1
178Zadanie 2
178Zadanie 3
178Zadanie 4
178Zadanie 5
178Zadanie 6
178Zadanie 10
179Zadanie 11
179Zadanie 13
179Zadanie 15
179Zadanie 16
180Zadanie 18
180Zadanie 19
180Zadanie 22
180Zadanie 25
181Zadanie 27
181Zadanie 2
182Zadanie 3
182Zadanie 4
182Zadanie 5
182Zadanie 6
182Zadanie 7
182Zadanie 8
183Zadanie 11
183Zadanie 12
183Zadanie 13
183Zadanie 15
184Zadanie 17
184Zadanie 19
184Zadanie 20
185Zadanie 21
185Zadanie 24
185Zadanie 25
185Zadanie 26
185Zadanie 1
186Zadanie 2
186Zadanie 3
186Zadanie 4
186Zadanie 5
186Zadanie 6
186Zadanie 7
186Zadanie 8
187Zadanie 9
187Zadanie 11
187Zadanie 14
187Zadanie 15
187Zadanie 16
188Zadanie 17
188Zadanie 19
188Zadanie 20
188Zadanie 21
188Zadanie 25
189Zadanie 27
189Zadanie 1
190Zadanie 2
190Zadanie 3
190Zadanie 4
190Zadanie 5
190Zadanie 6
190Zadanie 8
191Zadanie 9
191Zadanie 10
191Zadanie 11
191Zadanie 12
191Zadanie 13
191Zadanie 14
191Zadanie 16
191Zadanie 20
192Zadanie 22
192Zadanie 23
192Zadanie 1
193Zadanie 2
193Zadanie 3
193Zadanie 4
193Zadanie 5
193Zadanie 6
193Zadanie 7
193Zadanie 8
194Zadanie 9
194Zadanie 10
194Zadanie 11
194Zadanie 12
194Zadanie 13
194Zadanie 14
194Zadanie 15
194Zadanie 16
195Zadanie 19
195Zadanie 22
195Zadanie 23
196Zadanie 24
196Zadanie 25
196Zadanie 26
196Zadanie 27
196Zadanie 29
196Zadanie 1
197Zadanie 3
197Zadanie 5
197Zadanie 7
197Zadanie 8
197Zadanie 9
197Zadanie 10
197Zadanie 11
198Zadanie 15
198Zadanie 16
198Zadanie 19
199Zadanie 20
199Zadanie 23
199Zadanie 24
199Zadanie 26
199Zadanie 29
200Zadanie 30
200Zadanie 37
200Zadanie 38
201Zadanie 40
201Zadanie 41
201Zadanie 42
201Zadanie 43
201Zadanie 44
201Zadanie 45
201