W tym zadaniu musisz podać brakujące długości boków danego trójkąta.
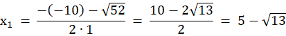
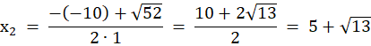
Oblicz miejsca zerowe trójmianu kwadratowego:
a jest najdłuższym bokiem zatem:
Wykorzystując twierdzenie cosinusów oraz obliczając pierwiastki trójmianu kwadratowego obliczasz długości boków a i b.
Ćwiczenie A
180Ćwiczenie B
181Ćwiczenie D
182Zadanie 1
182Zadanie 2
183Zadanie 3
183Zadanie 4
183Zadanie 7
183Zadanie 8
183Zadanie 11
184Zadanie 12
184Ćwiczenie C
186Ćwiczenie D
187Zadanie 2
187Zadanie 3
188Zadanie 5
188Zadanie 6
188Zadanie 7
188Zadanie 9
189Zadanie 11
189Zadanie 12
189Zadanie 13
189Zadanie 1
193Zadanie 3
193Zadanie 4
193Zadanie 5
194Zadanie 10
194Zadanie 13
194Zadanie 14
194Zadanie 15
195Zadanie 19
195Zadanie 20
195Zadanie 4
198Zadanie 10
199Zadanie 11
200Zadanie 12
200Zadanie 1
202Zadanie 2
202Zadanie 3
203Zadanie 4
203Przykład 1
203Zadanie 1
206Zadanie 3
206Zadanie 4
206Zadanie 5
206Zadanie 6
206Zadanie 7
206Zadanie 8
206Zadanie 9
206Zadanie 10
207Ćwiczenie B
208Przykład 2
210Przykład 3
210Zadanie 1
212Zadanie 3
212Zadanie 4
212Zadanie 5
212Zadanie 6
212Zadanie 7
213Zadanie 8
213Zadanie 9
213Zadanie 11
213Zadanie 12
213Zadanie 13
213Zadanie 14
213Zadanie 15
214Zadanie 16
214Zadanie 1
218Zadanie 2
218Zadanie 4
218Zadanie 5
219Zadanie 6
219Zadanie 7
219Zadanie 8
219Zadanie 11
219Zadanie 1
223Zadanie 2
223Zadanie 3
223Zadanie 3
226Zadanie 5
226Zadanie 8
226Zadanie 9
226