Oblicz koszt samochodów zakupionych do firmy.
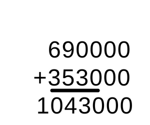
5 · 70 600 + 6 · 115 000 = 1 043 000 zł
Pomnóż koszt samochodu osobowego przez liczbę zakupionych samochodów i dodaj iloczyn ceny za samochód dostawczy i liczby kupionych samochodów tego typu, by dostać kwotę zapłaconą za samochody. Jeśli przy wykonywaniu mnożenia liczby mają zera na końcu, to możesz te zera wpisać za kreską i wykonać mnożenie bez nich, a na końcu do wyniku dopisać tyle zer, ile jest za kreską. Wykonując mnożenie pisemne przez liczbę wielocyfrową, należy najpierw pomnożyć cyfrę jedności liczby, przez którą mnożysz, przez cyfrę jedności drugiej liczby. Jeśli otrzymana liczba jest dwucyfrowa, należy cyfrę jedności takiego wyniku zapisać pod słupkiem cyfr jedności, a cyfrę dziesiątek z wyniku trzeba przenieść dalej poprzez dopisanie tej cyfry nad kolejnym w lewo słupkiem, czyli słupkiem cyfr dziesiątek. Przy mnożeniu kolejnego słupka, do wyniku dodaje się przeniesioną cyfrę ze słupka wcześniej. W taki sam sposób należy mnożyć każdą kolejną cyfrę, zaczynając od lewej i idąc do prawej. Jeśli w ostatnim słupku wyjdzie liczba większa od 10, to już nie wolno przenosić dalej, bo nie ma kolejnego słupka, lecz należy napisać całą liczbę. Po pomnożeniu przez cyfrę jedności należy wykonać te same operacje, mnożąc przez kolejne cyfry, zaczynając od dziesiątek. Z każdą kolejną cyfrą, przez którą mnożysz w sekcji dodawania, dopisuj z prawej strony jedno zero. Na końcu wykonaj dodawanie pisemne. Dodawaj kolejno każdy ze słupków, począwszy od jedności, a gdy po dodaniu wynik będzie dwucyfrowy, to liczbę jedności zapisz pod tym słupkiem, a liczba dziesiątek przejdzie dalej do następnego słupka.
Zadanie 1
64Zadanie 2
64Zadanie 3
64Zadanie 10
65Zadanie 17
65Zadanie 18
65Zadanie 1
67Zadanie 2
67Zadanie 3
67Zadanie 4
67Zadanie 13
68Zadanie 14
68Zadanie 18
68Zadanie 19
68Zadanie 21
68Zadanie 23
69Zadanie 1
70Zadanie 2
70Zadanie 3
70Zadanie 13
71Zadanie 16
71Zadanie 20
71Zadanie 21
72Zadanie 22
72Zadanie 27
72Zadanie 1
73Zadanie 2
73Zadanie 3
73Zadanie 6
73Zadanie 12
74Zadanie 13
74Zadanie 15
74Zadanie 16
74Zadanie 17
74Zadanie 1
76Zadanie 2
76Zadanie 3
76Zadanie 6
76Zadanie 7
76Zadanie 10
77Zadanie 11
77Zadanie 12
77Zadanie 13
77Zadanie 18
77Zadanie 19
77Zadanie 27
78Zadanie 1
79Zadanie 2
79Zadanie 13
80Zadanie 14
80Zadanie 15
80Zadanie 16
80Zadanie 18
80Zadanie 19
80Zadanie 21
80Zadanie 22
80Zadanie 24
81Zadanie 29
81Zadanie 30
81Zadanie 31
81Zadanie 7
82Zadanie 12
82Zadanie 14
83Zadanie 17
83Zadanie 18
83Zadanie 21
83Zadanie 22
83Zadanie 26
84Zadanie 27
84Zadanie 28
84Zadanie 30
84