Wykonaj obliczenia i porównaj liczby.
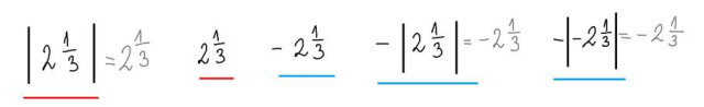
Wartość bezwzględna to odległość liczby od 0 na osi. Nie może być ona liczbą ujemną. UWAGA: Jeżeli minus znajduje się przed wartością bezwzględną, a nie w jej środku, to wynik po znaku ,,=” może być ujemny.
Zadanie 4.
24Zadanie 5.
24Zadanie 7.
24Zadanie 9.
25Zadanie 11.
25Zadanie 14.
26Zadanie 15.
26Zadanie 19.
27Zadanie 21.
27Zadanie 23.
27Zadanie 1.
28Zadanie 3.
29Zadanie 6.
29Zadanie 7.
29Zadanie 9.
30Zadanie 11.
30Zadanie 12.
30Zadanie 13.
30Zadanie 15.
31Zadanie 16.
31Zadanie 17.
31Zadanie 18.
31Zadanie 19.
31Zadanie 20.
31Zadanie 22.
32Zadanie 3.
33Zadanie 4.
33Zadanie 6.
34Zadanie 8.
34Zadanie 11.
36Zadanie 15.
36Zadanie 1.
3Zadanie 2.
37Zadanie 7.
38