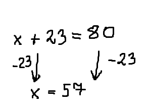
Musisz doprowadzić równanie do takiej postaci, by po jednej stronie została tylko niewiadoma.
Od obu stron równania odejmij 23.
Zadanie 1.
80Zadanie 2.
80Zadanie 3.
80Zadanie 6.
81Zadanie 1.
81Zadanie 2.
81Zadanie 3.
81Zadanie 1.
82Zadanie 3.
82Zadanie 4.
82Zadanie 5.
82Zadanie 6`.
83Zadanie 1.
83Zadanie 3.
83Zadanie 4.
84Zadanie 5.
84Zadanie 7.
84Zadanie 8.
84Zadanie 1.
85Zadanie 2.
85Zadanie 3.
85Zadanie 4.
85Zadanie 5.
85Zadanie 6.
86Zadanie 7.
86Zadanie 1.
86Zadanie 2.
87Zadanie 3.
88Zadanie 5.
88Zadanie 6.
88Zadanie 8.
89