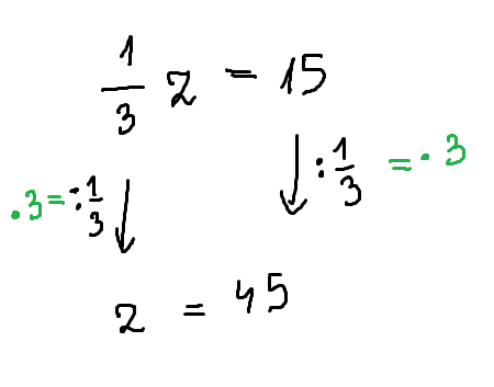
Musisz doprowadzić równanie do takiej postaci, by po jednej stronie zostało tylko z.
Przy strzałce zapisano
Zadanie 1.
80Zadanie 2.
80Zadanie 3.
80Zadanie 6.
81Zadanie 1.
81Zadanie 2.
81Zadanie 3.
81Zadanie 1.
82Zadanie 3.
82Zadanie 4.
82Zadanie 5.
82Zadanie 6`.
83Zadanie 1.
83Zadanie 3.
83Zadanie 4.
84Zadanie 5.
84Zadanie 7.
84Zadanie 8.
84Zadanie 1.
85Zadanie 2.
85Zadanie 3.
85Zadanie 4.
85Zadanie 5.
85Zadanie 6.
86Zadanie 7.
86Zadanie 1.
86Zadanie 2.
87Zadanie 3.
88Zadanie 5.
88Zadanie 6.
88Zadanie 8.
89