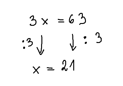
Musisz doprowadzić równanie do takiej postaci, by po jednej stronie został tylko x.
Przy strzałce zapisano : 3. Obie strony równania podziel przez 3.
Zadanie 1.
80Zadanie 2.
80Zadanie 3.
80Zadanie 6.
81Zadanie 1.
81Zadanie 2.
81Zadanie 3.
81Zadanie 1.
82Zadanie 3.
82Zadanie 4.
82Zadanie 5.
82Zadanie 6`.
83Zadanie 1.
83Zadanie 3.
83Zadanie 4.
84Zadanie 5.
84Zadanie 7.
84Zadanie 8.
84Zadanie 1.
85Zadanie 2.
85Zadanie 3.
85Zadanie 4.
85Zadanie 5.
85Zadanie 6.
86Zadanie 7.
86Zadanie 1.
86Zadanie 2.
87Zadanie 3.
88Zadanie 5.
88Zadanie 6.
88Zadanie 8.
89