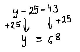
Musisz doprowadzić równanie do takiej postaci, by po jednej stronie została tylko niewiadoma.
Do obu stron równania dodaj 25.
Zadanie 1.
80Zadanie 2.
80Zadanie 3.
80Zadanie 6.
81Zadanie 1.
81Zadanie 2.
81Zadanie 3.
81Zadanie 1.
82Zadanie 3.
82Zadanie 4.
82Zadanie 5.
82Zadanie 6`.
83Zadanie 1.
83Zadanie 3.
83Zadanie 4.
84Zadanie 5.
84Zadanie 7.
84Zadanie 8.
84Zadanie 1.
85Zadanie 2.
85Zadanie 3.
85Zadanie 4.
85Zadanie 5.
85Zadanie 6.
86Zadanie 7.
86Zadanie 1.
86Zadanie 2.
87Zadanie 3.
88Zadanie 5.
88Zadanie 6.
88Zadanie 8.
89