OOO, ORO, OOR, ORR, RRR, RRO, ROR, ROO – wszystkie możliwe wyniki rzutu
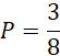
Prawdopodobieństwo, że orzeł wypadnie dokładnie 2 razy, wynosi
Wypisz wszystkie możliwe wyniki rzutów, oznaczając orła jako O, a reszkę jako R. Następnie znajdź wyniki, w których orzeł (O) pojawia się dokładnie dwa razy i oblicz prawdopodobieństwo. Prawdopodobieństwo to iloraz liczby interesujących nas wyników i wszystkich wyników możliwych.