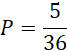
W tym zadaniu musisz obliczyć prawdopodobieństwo, że suma liczb uzyskanych w pierwszym i drugim rzucie jest równa 6.
Prawdopodobieństwo to iloraz liczby interesujących nas wyników i wszystkich wyników możliwych.
Pytanie 1
Pytanie 2
Ćwiczenie 1
Ćwiczenie 2
Ćwiczenie 3
Zadanie 1
Zadanie 2
Zadanie 3
Zadanie 4
Podpunkt a)
Podpunkt b)
Zadanie 5
Zadanie 6
Podpunkt c)
Podpunkt d)
Zadanie 7
Zadanie 8
Zadanie dla dociekliwych 1
Zadanie dla dociekliwych 2
Zadanie dla dociekliwych 3
Zadanie dla dociekliwych 4
Zadanie dla dociekliwych 5
Ćwiczenie sprawdzające I
Ćwiczenie sprawdzające II
Ćwiczenie sprawdzające III
Ćwiczenie 4
Ćwiczenie 5
Ćwiczenie 6
Zadanie 9
Zadanie 10
Podpunkt e)
Podpunkt f)
Zadanie 1.1
Zadanie 1.2
Zadanie 1.3
Zadanie 1.4
Zadanie 1.5
Zadanie 1.6
Zadanie 2.1
Zadanie 2.2
Zadanie 2.3
Zadanie 2.4