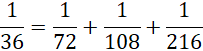
W tym zadaniu musisz przedstawić liczbę 1 za pomocą sumy siedmiu różnych ułamków o licznikach równych 1.
Na początku rozpisz ostatni ułamek z sumy rozpisanej w poleceniu -
Zadanie 3
24Zadanie 8
25Zadanie 13
26Zadanie 16
26Zadanie 1
27Zadanie 2
27Zadanie 4
27Zadanie 9
27Zadanie 10
28Zadanie 11
27Zadanie 12
27Zadanie 14
28Zadanie 17
29Zadanie 22
29Zadanie 2
30Zadanie 3
30Zadanie 4
30Zadanie 5
30Zadanie 6
30Zadanie 9
30Zadanie 14
31Zadanie 20
32Zadanie 26
32Zadanie 27
32Zadanie 2
33Zadanie 5
33Zadanie 6
33Zadanie 7
33Zadanie 8
33Zadanie 9
33Zadanie 10
34Zadanie 11
34Zadanie 13
34Zadanie 14
34Zadanie 17
33Zadanie 18
34Zadanie 20
34Zadanie 21
34Zadanie 22
34Zadanie 26
35Zadanie 29
35Zadanie 31
35Zadanie 32
35Zadanie 1
36Zadanie 2
36Zadanie 4
36Zadanie 6
36Zadanie 7
36Zadanie 9
36Zadanie 11
37Zadanie 12
37Zadanie 13
37Zadanie 21
38Zadanie 22
38Zadanie 2
39Zadanie 5
39Zadanie 7
40Zadanie 12
40Zadanie 13
40Zadanie 14
40Zadanie 15
41Zadanie 1
42Zadanie 2
42Zadanie 4
42Zadanie 5
42Zadanie 7
42Zadanie 8
42Zadanie 9
42Zadanie 10
43Zadanie 11
43Zadanie 13
43Zadanie 19
43Zadanie 21
44Zadanie 25
44Zadanie 28
44Zadanie 1
45Zadanie 2
45Zadanie 3
45Zadanie 4
45Zadanie 5
45Zadanie 6
45Zadanie 7
45Zadanie 9
46Zadanie 12
46Zadanie 13
46Zadanie 17
46Zadanie 18
46Zadanie 20
47Zadanie 22
47Zadanie 24
47Zadanie 25
47Zadanie 26
47Zadanie 27
47Zadanie 6
48Zadanie 8
48Zadanie 10
49Zadanie 13
49Zadanie 14
49Zadanie 16
49