W tym zadaniu musisz obliczyć podane działanie.
Dwa minusy przed liczbą zamień na znak plus. Sprowadź ułamki do wspólnego mianownika, aby obliczyć działania. Aby odjąć większą liczbę od mniejszej, zamień odejmowanie kolejnością, a przed całym działaniem wstaw znak minus.
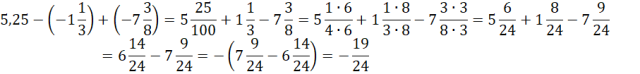
Zadanie 3
24Zadanie 8
25Zadanie 13
26Zadanie 16
26Zadanie 1
27Zadanie 2
27Zadanie 4
27Zadanie 9
27Zadanie 10
28Zadanie 11
27Zadanie 12
27Zadanie 14
28Zadanie 17
29Zadanie 22
29Zadanie 2
30Zadanie 3
30Zadanie 4
30Zadanie 5
30Zadanie 6
30Zadanie 9
30Zadanie 14
31Zadanie 20
32Zadanie 26
32Zadanie 27
32Zadanie 2
33Zadanie 5
33Zadanie 6
33Zadanie 7
33Zadanie 8
33Zadanie 9
33Zadanie 10
34Zadanie 11
34Zadanie 13
34Zadanie 14
34Zadanie 17
33Zadanie 18
34Zadanie 20
34Zadanie 21
34Zadanie 22
34Zadanie 26
35Zadanie 29
35Zadanie 31
35Zadanie 32
35Zadanie 1
36Zadanie 2
36Zadanie 4
36Zadanie 6
36Zadanie 7
36Zadanie 9
36Zadanie 11
37Zadanie 12
37Zadanie 13
37Zadanie 21
38Zadanie 22
38Zadanie 2
39Zadanie 5
39Zadanie 7
40Zadanie 12
40Zadanie 13
40Zadanie 14
40Zadanie 15
41Zadanie 1
42Zadanie 2
42Zadanie 4
42Zadanie 5
42Zadanie 7
42Zadanie 8
42Zadanie 9
42Zadanie 10
43Zadanie 11
43Zadanie 13
43Zadanie 19
43Zadanie 21
44Zadanie 25
44Zadanie 28
44Zadanie 1
45Zadanie 2
45Zadanie 3
45Zadanie 4
45Zadanie 5
45Zadanie 6
45Zadanie 7
45Zadanie 9
46Zadanie 12
46Zadanie 13
46Zadanie 17
46Zadanie 18
46Zadanie 20
47Zadanie 22
47Zadanie 24
47Zadanie 25
47Zadanie 26
47Zadanie 27
47Zadanie 6
48Zadanie 8
48Zadanie 10
49Zadanie 13
49Zadanie 14
49Zadanie 16
49