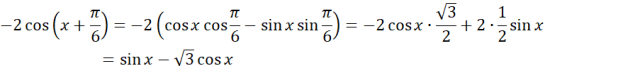
Wykaż
Prawą stronę równania doprowadź do lewej korzystając ze wzoru na sumę kątów w cosinusie.
Zadanie 1
195Zadanie 2
195Zadanie 3
195Zadanie 4
195Zadanie 5
195Zadanie 6
195Zadanie 7
195Zadanie 8
195Zadanie 9
196Zadanie 10
196Zadanie 11
196Zadanie 12
196Zadanie 13
196Zadanie 15
196Zadanie 16
196Zadanie 17
197Zadanie 18
197Zadanie 19
197Zadanie 20
197Zadanie 21
197Zadanie 24
197Zadanie 25
197Zadanie 26
197Zadanie 27
198Zadanie 28
198Zadanie 29
198Zadanie 31
198Zadanie 34
198Zadanie 35
199Zadanie 36
199Zadanie 37
199Zadanie 38
199Zadanie 40
199Zadanie 41
199Zadanie 45
199Zadanie 46
200Zadanie 47
200Zadanie 48
200Zadanie 52
200Zadanie 54
200Zadanie 1
202Zadanie 2
202Zadanie 3
202Zadanie 4
203Zadanie 5
203Zadanie 6
203Zadanie 7
203Zadanie 8
204Zadanie 9
204Zadanie 10
204Zadanie 11
204Zadanie 12
204Zadanie 13
204Zadanie 14
205Zadanie 15
205Zadanie 16
205Zadanie 17
205Zadanie 18
205Zadanie 19
205Zadanie 1
206Zadanie 3
206Zadanie 4
207Zadanie 5
207Zadanie 6
207Zadanie 7
207Zadanie 8
207Zadanie 9
207Zadanie 10
207Zadanie 11
208Zadanie 12
208Zadanie 13
208Zadanie 14
208Zadanie 15
208Zadanie 16
208Zadanie 17
208Zadanie 18
208Zadanie 19
209Zadanie 20
209Zadanie 21
209Zadanie 22
209Zadanie 27
210Zadanie 29
210Zadanie 33
210Zadanie 35
210Zadanie 36
210Zadanie 38
211Zadanie 39
210Zadanie 40
210Zadanie 42
210Zadanie 43
210Zadanie 1
213Zadanie 2
21Zadanie 3
21Zadanie 4
213Zadanie 5
213Zadanie 6
213Zadanie 7
21Zadanie 8
21Zadanie 9
21Zadanie 10
214Zadanie 11
214Zadanie 12
214Zadanie 13
214Zadanie 14
214Zadanie 15
214Zadanie 16
214Zadanie 17
214Zadanie 18
214Zadanie 20
215Zadanie 21
215Zadanie 22
215Zadanie 23
215Zadanie 24
215Zadanie 25
215Zadanie 26
215Zadanie 27
216Zadanie 28
216Zadanie 29
216Zadanie 30
216Zadanie 31
216Zadanie 32
216Zadanie 33
216Zadanie 34
216Zadanie 35
216Zadanie 36
217Zadanie 37
217Zadanie 38
217Zadanie 41
217Zadanie 43
217Zadanie 45
218Zadanie 47
218Zadanie 48
218Zadanie 49
218Zadanie 50
219Zadanie 51
219Zadanie 52
219Zadanie 53
219Zadanie 54
219Zadanie 55
219Zadanie 64
220Zadanie 65
220Zadanie 67
220Zadanie 68
220Zadanie 1
222Zadanie 2
222Zadanie 3
222Zadanie 4
222Zadanie 5
222Zadanie 6
222Zadanie 7
222Zadanie 8
222Zadanie 9
223Zadanie 10
223Zadanie 11
223Zadanie 12
223Zadanie 13
223Zadanie 14
223Zadanie 15
223Zadanie 16
223Zadanie 17
224Zadanie 18
224Zadanie 19
224Zadanie 20
224Zadanie 21
224Zadanie 22
224Zadanie 23
224Zadanie 24
225Zadanie 25
225Zadanie 26
225Zadanie 28
225Zadanie 35
226Zadanie 37
226Zadanie 39
226Zadanie 2
227Zadanie 3
227Zadanie 4
227Zadanie 5
228Zadanie 6
228Zadanie 7
228Zadanie 8
228Zadanie 9
228Zadanie 10
228Zadanie 11
229Zadanie 12
229Zadanie 13
229Zadanie 14
229Zadanie 15
229Zadanie 16
229Zadanie 17
230Zadanie 18
230Zadanie 19
230Zadanie 20
230Zadanie 21
230Zadanie 22
230Zadanie 23
230Zadanie 24
230Zadanie 25
230Zadanie 26
231Zadanie 27
231Zadanie 28
231Zadanie 29
231Zadanie 30
231Zadanie 31
231Zadanie 32
231Zadanie 34
232Zadanie 35
232Zadanie 1
233Zadanie 2
233Zadanie 3
233Zadanie 4
233Zadanie 5
233Zadanie 6
234Zadanie 7
234Zadanie 8
234Zadanie 9
234Zadanie 10
234Zadanie 11
234Zadanie 14
236Zadanie 15
236Zadanie 16
236Zadanie 17
236Zadanie 18
236Zadanie 19
236Zadanie 21
237Zadanie 22
237Zadanie 23
237Zadanie 24
237Zadanie 25
237Zadanie 26
237Zadanie 27
237Zadanie 28
237Zadanie 29
238Zadanie 30
238Zadanie 31
238Zadanie 32
239Zadanie 33
239Zadanie 34
239Zadanie 35
239Zadanie 36
239Zadanie 37
239Zadanie 38
239Zadanie 39
239Zadanie 40
239Zadanie 41
239Zadanie 42
240Zadanie 43
240Zadanie 44
240Zadanie 45
240Zadanie 46
240Zadanie 47
240Zadanie 1
242Zadanie 2
242Zadanie 3
242Zadanie 4
242Zadanie 5
242Zadanie 6
242Zadanie 7
242Zadanie 8
242Zadanie 9
242Zadanie 10
242Zadanie 11
242Zadanie 12
243Zadanie 13
243Zadanie 14
243Zadanie 15
243Zadanie 16
243Zadanie 17
243Zadanie 18
243Zadanie 19
243Zadanie 20
243Zadanie 21
244Zadanie 22
244Zadanie 23
244Zadanie 24
244Zadanie 25
244Zadanie 26
244Zadanie 27
244Zadanie 28
244Zadanie 29
244Zadanie 30
244Zadanie 31
245Zadanie 32
245Zadanie 33
245Zadanie 34
245Zadanie 35
245Zadanie 37
245Zadanie 38
245Zadanie 1
247Zadanie 3
247Zadanie 4
247Zadanie 5
247Zadanie 6
247Zadanie 7
247Zadanie 8
247Zadanie 9
247Zadanie 10
247Zadanie 11
248Zadanie 12
248Zadanie 13
248Zadanie 14
248Zadanie 15
248Zadanie 16
248Zadanie 19
248Zadanie 20
249Zadanie 21
249Zadanie 22
249Zadanie 23
249Zadanie 24
249Zadanie 25
249Zadanie 26
249Zadanie 27
249Zadanie 28
249Zadanie 29
249Zadanie 30
250Zadanie 31
250Zadanie 33
250Zadanie 34
250Zadanie 36
250Zadanie 39
251Zadanie 40
251Zadanie 41
251Zadanie 42
251Zadanie 43
251Zadanie 44
252Zadanie 45
252Zadanie 46
252Zadanie 47
252Zadanie 48
252Zadanie 49
253Zadanie 50
253Zadanie 51
253Zadanie 52
253Zadanie 53
253Zadanie 54
253Zadanie 56
253Zadanie 57
254Zadanie 63
254Zadanie 67
255Zadanie 68
255Zadanie 72
255Zadanie 73
255Zadanie 74
255Zadanie 75
255Zadanie 76
256Zadanie 82
256Zadanie 83
256Zadanie 1
257Zadanie 2
257Zadanie 3
257Zadanie 4
258Zadanie 5
258Zadanie 6
258Zadanie 7
258Zadanie 8
258Zadanie 9
258Zadanie 10
258Zadanie 11
258Zadanie 12
258Zadanie 13
258Zadanie 14
259Zadanie 15
259Zadanie 16
259Zadanie 17
259Zadanie 18
259Zadanie 19
259Zadanie 23
260Zadanie 24
260Zadanie 25
260Zadanie 26
260Zadanie 27
260Zadanie 28
260Zadanie 29
260Zadanie 30
260Zadanie 31
260Zadanie 32
261Zadanie 33
261Zadanie 34
261Zadanie 35
261Zadanie 36
261Zadanie 37
261Zadanie 38
261Zadanie 40
261Zadanie 43
262Zadanie 44
262Zadanie 55
263Zadanie 1
265Zadanie 2
265Zadanie 3
265Zadanie 4
265Zadanie 7
266Zadanie 15
267Zadanie 18
268Zadanie 19
268Zadanie 20
268Zadanie 23
269Zadanie 26
269Zadanie 28
269Zadanie 29
269Zadanie 30
270Zadanie 35
270Zadanie 36
271Zadanie 37
271Zadanie 39
271Zadanie 42
271Zadanie 45
272Zadanie 46
272Zadanie 47
272Zadanie 48
272Zadanie 50
272Zadanie 1
276Zadanie 2
277Zadanie 4
277Zadanie 15
278Zadanie 17
279Zadanie 28
280Zadanie 2
283Zadanie 4
283Zadanie 5
283Zadanie 6
283Zadanie 7
283Zadanie 10
284Zadanie 11
284Zadanie 12
284Zadanie 13
284Zadanie 14
284Zadanie 15
284Zadanie 17
284Zadanie 18
285Zadanie 19
285Zadanie 21
285Zadanie 22
285Zadanie 24
285Zadanie 25
285Zadanie 26
285Zadanie 34
287Zadanie 35
287Zadanie 36
287Zadanie 37
287Zadanie 45
288Zadanie 46
288Zadanie 47
288Zadanie 48
288Zadanie 50
289Zadanie 59
290Zadanie 60
290Zadanie 62
290Zadanie 64
290Zadanie 1
291Zadanie 4
292Zadanie 7
292Zadanie 9
293Zadanie 12
294Zadanie 13
294Zadanie 15
294Zadanie 16
295Zadanie 20
295Zadanie 25
296Zadanie 27
296Zadanie 1
297Zadanie 2
297Zadanie 3
298Zadanie 4
298Zadanie 5
298Zadanie 6
298Zadanie 7
298Zadanie 8
298Zadanie 9
298Zadanie 10
298Zadanie 11
298Zadanie 12
299Zadanie 13
299Zadanie 14
299Zadanie 15
300Zadanie 16
300Zadanie 17
300Zadanie 18
300Zadanie 19
300Zadanie 20
300Zadanie 21
300Zadanie 22
301Zadanie 25
301Zadanie 26
302Zadanie 27
302Zadanie 28
302Zadanie 29
302Zadanie 30
302Zadanie 31
302Zadanie 32
302Zadanie 38
303Zadanie 41
303Zadanie 51
304Zadanie 60
305