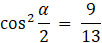
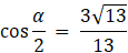
W tym zadaniu musisz obliczyć wartości
Skoro
W tym zadaniu musisz skorzystać ze wzorów:
Zadanie 1
11Zadanie 2
11Zadanie 3
11Zadanie 5
11Zadanie 6
12Zadanie 7
12Zadanie 10
12Zadanie 12
12Zadanie 13
12Zadanie 18
13Zadanie 1
14Zadanie 2
14Zadanie 3
14Zadanie 4
14Zadanie 5
14Zadanie 6
14Zadanie 7
14Zadanie 8
14Zadanie 9
15Zadanie 11
15Zadanie 13
15Zadanie 15
15Zadanie 1
16Zadanie 2
16Zadanie 3
16Zadanie 4
16Zadanie 5
16Zadanie 6
16Zadanie 7
16Zadanie 8
17Zadanie 10
17Zadanie 11
17Zadanie 13
17Zadanie 2
18Zadanie 4
18Zadanie 6
18Zadanie 7
18Zadanie 8
19Zadanie 11
19Zadanie 12
19Zadanie 13
19Zadanie 15
20Zadanie 16
20Zadanie 18
20Zadanie 1
21Zadanie 2
21Zadanie 3
21Zadanie 4
21Zadanie 5
21Zadanie 6
21Zadanie 7
21Zadanie 8
21Zadanie 9
21Zadanie 10
22Zadanie 11
22Zadanie 12
22Zadanie 13
22Zadanie 16
22Zadanie 19
23Zadanie 20
23Zadanie 21
23Zadanie 22
23Zadanie 23
23Zadanie 1
24Zadanie 2
24Zadanie 3
24Zadanie 5
24Zadanie 6
24Zadanie 7
24Zadanie 8
25Zadanie 9
25Zadanie 11
25Zadanie 12
25Zadanie 13
25Zadanie 14
25Zadanie 15
26Zadanie 18
26Zadanie 20
26Zadanie 21
26Zadanie 1
27Zadanie 2
27Zadanie 4
27Zadanie 5
27Zadanie 9
28Zadanie 10
28Zadanie 13
29Zadanie 14
29Zadanie 15
29Zadanie 16
29Zadanie 22
30Zadanie 1
31Zadanie 2
31Zadanie 3
31Zadanie 5
31Zadanie 6
31Zadanie 8
32Zadanie 9
32Zadanie 10
32Zadanie 11
32Zadanie 12
32Zadanie 15
33Zadanie 16
33Zadanie 17
33Zadanie 20
33Zadanie 21
34Zadanie 22
34Zadanie 25
34Zadanie 1
35Zadanie 2
35Zadanie 3
35Zadanie 4
35Zadanie 5
35Zadanie 6
35Zadanie 7
36Zadanie 11
36Zadanie 12
36Zadanie 13
36Zadanie 14
36Zadanie 15
36Zadanie 16
36Zadanie 24
37Zadanie 25
37Zadanie 1
39Zadanie 2
39Zadanie 3
39Zadanie 4
39Zadanie 5
39Zadanie 6
39Zadanie 7
39Zadanie 8
40Zadanie 11
40Zadanie 12
40Zadanie 13
40Zadanie 24
41Zadanie 25
41Zadanie 27
41Zadanie 1
42Zadanie 2
42Zadanie 3
42Zadanie 4
42Zadanie 5
42Zadanie 6
42Zadanie 7
43Zadanie 8
43Zadanie 10
43Zadanie 11
43Zadanie 12
43Zadanie 13
43Zadanie 14
43Zadanie 17
44Zadanie 18
44Zadanie 25
44Zadanie 26
44Zadanie 2
45Zadanie 3
45Zadanie 4
45Zadanie 5
45Zadanie 7
45Zadanie 8
46Zadanie 9
46Zadanie 12
46Zadanie 13
47Zadanie 16
47Zadanie 17
47Zadanie 18
47Zadanie 19
47Zadanie 22
47Zadanie 24
48Zadanie 25
48Zadanie 27
48Zadanie 1
49Zadanie 2
49Zadanie 3
49Zadanie 4
49Zadanie 5
49Zadanie 7
49Zadanie 8
50Zadanie 9
50Zadanie 10
50Zadanie 11
50Zadanie 12
50Zadanie 13
50Zadanie 14
50Zadanie 15
50Zadanie 16
50Zadanie 17
51Zadanie 18
51Zadanie 19
51Zadanie 20
51Zadanie 21
51Zadanie 22
51Zadanie 23
51Zadanie 25
52Zadanie 26
52Zadanie 27
52Zadanie 28
52Zadanie 29
52Zadanie 30
52Zadanie 1
53Zadanie 2
53Zadanie 3
53Zadanie 4
53Zadanie 5
53Zadanie 6
53Zadanie 7
54Zadanie 8
54Zadanie 9
54Zadanie 12
54Zadanie 13
55Zadanie 14
55Zadanie 17
55Zadanie 21
56Zadanie 26
56Zadanie 27
56Zadanie 1
57Zadanie 2
57Zadanie 4
57Zadanie 7
57Zadanie 9
58Zadanie 11
58Zadanie 12
58Zadanie 13
58Zadanie 14
58Zadanie 15
58Zadanie 16
58Zadanie 18
58Zadanie 19
58Zadanie 23
58Zadanie 1
60Zadanie 2
60Zadanie 3
60Zadanie 4
60Zadanie 8
61Zadanie 9
61Zadanie 11
61Zadanie 12
61Zadanie 21
62Zadanie 22
62Zadanie 1
63Zadanie 3
63Zadanie 5
63Zadanie 6
63Zadanie 7
64Zadanie 8
64Zadanie 9
64Zadanie 10
64Zadanie 12
64Zadanie 14
64Zadanie 15
65Zadanie 18
65Zadanie 19
65Zadanie 22
65Zadanie 24
66Zadanie 25
66Zadanie 26
66Zadanie 28
66Zadanie 30
66Zadanie 31
66Zadanie 32
67Zadanie 33
67Zadanie 34
67Zadanie 35
67Zadanie 37
67Zadanie 38
67Zadanie 39
68Zadanie 40
68Zadanie 41
68Zadanie 42
68Zadanie 43
68Zadanie 44
68Zadanie 45
68Zadanie 46
68Zadanie 47
68