Zadanie

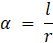
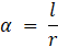
W tym zadaniu powinieneś przekształcić wzór na długość łuku okręgu wyznaczonego przez pewien kąt środkowy tak, aby móc obliczyć miarę tego kąta, a następnie podstawić podane dane i wyznaczyć ten kąt w radianach.

Rozwiązanie

Wyjaśnienie

Zadania z tego działu
1. Funkcje trygonometryczne
7
1.13. Wzory redukcyjne
49

Zadanie 1

49

Zadanie 2

49

Zadanie 3

49

Zadanie 4

49

Zadanie 5

49

Zadanie 7

49

Zadanie 8

50

Zadanie 9

50

Zadanie 10

50

Zadanie 11

50

Zadanie 12

50

Zadanie 13

50

Zadanie 14

50

Zadanie 15

50

Zadanie 16

50

Zadanie 17

51

Zadanie 18

51

Zadanie 19

51

Zadanie 20

51

Zadanie 21

51

Zadanie 22

51

Zadanie 23

51

Zadanie 25

52

Zadanie 26

52

Zadanie 27

52

Zadanie 28

52

Zadanie 29

52

Zadanie 30

52
1.14. Równania trygonometryczne (1)
53

Zadanie 1

53

Zadanie 2

53

Zadanie 3

53

Zadanie 4

53

Zadanie 5

53

Zadanie 6

53

Zadanie 7

54

Zadanie 8

54

Zadanie 9

54

Zadanie 12

54

Zadanie 13

55

Zadanie 14

55

Zadanie 17

55

Zadanie 21

56

Zadanie 26

56

Zadanie 27

56
Powtórzenie
63

Zadanie 1

63

Zadanie 3

63

Zadanie 5

63

Zadanie 6

63

Zadanie 7

64

Zadanie 8

64

Zadanie 9

64

Zadanie 10

64

Zadanie 12

64

Zadanie 14

64

Zadanie 15

65

Zadanie 18

65

Zadanie 19

65

Zadanie 22

65

Zadanie 24

66

Zadanie 25

66

Zadanie 26

66

Zadanie 28

66

Zadanie 30

66

Zadanie 31

66

Zadanie 32

67

Zadanie 33

67

Zadanie 34

67

Zadanie 35

67

Zadanie 37

67

Zadanie 38

67

Zadanie 39

68

Zadanie 40

68

Zadanie 41

68

Zadanie 42

68

Zadanie 43

68

Zadanie 44

68

Zadanie 45

68

Zadanie 46

68

Zadanie 47

68