Przypomnij sobie właściwości figur geometrycznych i wybierz prawidłową odpowiedź.
Rozwiązanie
Prawidłową odpowiedzią jest C.
Wyjaśnienie
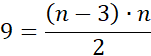
Dokonaj obliczeń za pomocą wzoru określającego liczbę przekątnych wielokąta wypukłego , gdzie n to liczba kątów wielokąta. Suma kątów w trójkącie wynosi 180 i rośnie o 180, z każdym kolejnym bokiem figury wypukłej.