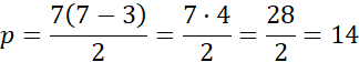
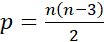
Wyznacz ilość przekątnych 7-kąta wypukłego.
Skorzystaj ze wzoru na liczbę przekątnych wielokąta
Zadanie 1.5.
395Zadanie 1.6.
396Zadanie 1.8.
396Zadanie 1.10.
396Zadanie 1.14.
396Zadanie 2.6.
403Zadanie 2.7.
403Zadanie 2.9.
403Zadanie 2.11.
403Zadanie 2.12.
403Zadanie 2.14.
404Zadanie 2.15.
404Zadanie 2.16.
404Zadanie 2.21.
404Zadanie 2.24.
405Zadanie 3.7.
413Zadanie 3.8.
413Zadanie 31.
419Zadanie 34.
419Zadanie 37.
419