Dokonaj obliczeń za pomocą wzoru określającego liczbę przekątnych wielokąta wypukłego
Prawidłową odpowiedzią jest C.
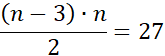
Podstaw liczbę przekątnych figury do podanego wzoru i oblicz liczbę jej boków.
Zadanie 1.5.
395Zadanie 1.6.
396Zadanie 1.8.
396Zadanie 1.10.
396Zadanie 1.14.
396Zadanie 2.6.
403Zadanie 2.7.
403Zadanie 2.9.
403Zadanie 2.11.
403Zadanie 2.12.
403Zadanie 2.14.
404Zadanie 2.15.
404Zadanie 2.16.
404Zadanie 2.21.
404Zadanie 2.24.
405Zadanie 3.7.
413Zadanie 3.8.
413Zadanie 31.
419Zadanie 34.
419Zadanie 37.
419