Nieznana liczba:
Połowa tej liczby:
Suma tej liczby i jej połowy:
Suma tej liczby i jej połowy:
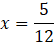
Nieznana liczba wynosi
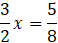
Oznacz nieznaną liczbę literą, ułóż równanie i rozwiąż je.